Na última semana, o Tribunal Superior Eleitoral (TSE) divulgou o limite de gastos para as campanhas de prefeito e vereador em todos os municípios do país para as eleições municipais deste ano.

Foto: Edilson Rodrigues/Agência Senado
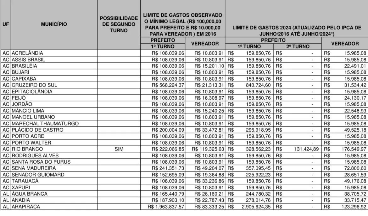
Os gastos de campanha eleitoral são bancados com dinheiro público. Os valores levam em consideração à campanha de 2016, atualizados pelo IPCA (Índice de preços no consumidor).
Os valores estabelecidos variam conforme o eleitorado de cada região. A cidade com o maior número de eleitor, por exemplo, terá um teto de gastos maior.
VEJA MAIS: Em campanha, candidatos a prefeito vão poder gastar mais no Juruá do que em Rio Branco; veja valores
A portaria do TSE estabelece que o candidato que gastar mais do que os valores previstos, poderá pagar multa no valor equivalente a 100% da quantia que exceder o limite estabelecido.
No Acre, os candidatos a vereador em Rio Branco terão o maior limite de gastos das eleições. Cada poderá gastar até R$ 176.549,97.
Em seguida, aparece Sena Madureira, com um limite de R$ 72.800,60. O top 3 fecha com Tarauacá e Plácido de Castro, onde cada vereador poderá gastar até R$ 49 mil na campanha deste ano.
Outros 13 municípios terão acesso ao mínimo do limite estabelecido para o Acre, que é de R$ 15.985,08 para cada candidato a vereador, como mostra a tabela no final da matéria.
O que chama a atenção é o segundo maior colégio eleitoral do Acre: Cruzeiro do Sul, que terá apenas um limite de R$ 31 mil. O município, por outro lado, tem o maior limite de gastos entre os municípios acreanos em relação às candidaturas a prefeito, com R$ 800 mil.
Se somar todos os limites de gastos dos municípios, o valor ultrapassa os R$ 662 mil.
Veja os números completos:

