No mês passado, o Tribunal Superior Eleitoral (TSE) divulgou os valores que cada partido deverá receber do Fundo Especial de Financiamento de Campanha, para as eleições municipais deste ano.

Valores foram aprovados no Congresso Nacional/Foto: Edilson Rodrigues/Agência Senado
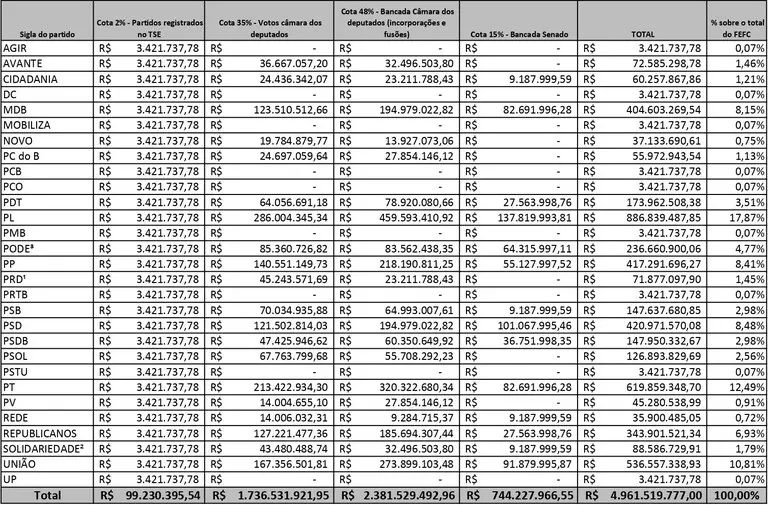
De acordo com o TSE, ao todo, 29 partidos receberão R$ 4.961.519.777,00, valor estabelecido e aprovado pelo Congresso Nacional para gastos com a campanha eleitoral.
Cada partido precisa definir critérios de distribuição às candidatas e aos candidatos, respeitando a Lei Lei nº 9.504/1997, respeitando, inclusive, a divisão por gênero e raça.
Ao final do pleito, os partidos deverão apresentar a prestação de contas detalhada, que será examinada e votada pelo plenário do Tribunal.
Em números gerais, os partidos que receberão a maior fatia do Fundo Eleitoral são: PL, PT, União Brasil e Progressistas. Por outro lado, AGIR, DC, MOBILIZA, PCB, PCO, PMB, PRTB, PSTU e UP, terão a menor fatia, ambos com cerca de R$ 3,4 milhões cada.
Veja:
Corrida pela Prefeitura de Rio Branco
Bocalom, Alysson e outros 5 partidos
Se levar em consideração apenas os quatro candidatos a prefeito de Rio Branco, o candidato a reeleição, Tião Bocalom, faz parte do partido que vai pegar a maior cota do fundão: o PL, do ex-presidente Jair Bolsonaro. A sigla terá acesso a mais de R$ 886 milhões que serão distribuídos a todos s municípios do país.

Alysson Bestene e Tião Bocalom durante convenção/Foto: Juan Diaz/ContilNet
Já Alysson Bestene, candidato a vice-prefeito na chapa de Bocalom, é membro do Progressistas, outro partido que irá abocanhar uma grande parte do Fundo Eleitoral. O partido do governador Gladson Cameli terá mais de R$ 417 milhões na conta para gastar com a campanha eleitoral em 2024.
A chapa de Bocalom/Alysson ainda tem o União Brasil, terceiro partido com a maior cota no fundão: mais de R$ 536 milhões.
O arco de alianças de Bocalom e Alysson ainda tem PSDB (R$ 147 milhões), PDT (R$ 173 milhões), Podemos (R$ 236 milhões), Cidadania (R$ 60 milhões) e Solidariedade (R$ 88 milhões).
Marcus, Marfisa e a maior coligação das eleições deste ano
O MDB de Marcus Alexandre, outro candidato a prefeito de Rio Branco, deverá receber mais de R$ 404 milhões do Fundo Eleitoral.

Marfisa Galvão e o Marcus Alexandre/Foto: Juan Diaz/ContilNet
Já o PSD, sigla da ex-deputada e candidata a vice-prefeita na chapa de Marcus, terá R$ 420 milhões de participação no fundo.
O PT, presente na chapa de Marcus e Marfisa, abocanhará a segunda maior cota do Fundão deste ano: mais de R$ 619 milhões.
A chapa ainda conta com PRD (mais de R$ 71 milhões), PCdoB (R$ 55 milhões), AGIR (R$ 3,4 milhões), PV (R$ 45 milhões), PSOL (R$126 milhões), REDE (35 milhões), DC (R$ 3,4 milhões) e Republicanos (mais de R$ 343 milhões).
Jenilson e a chapa puro-sangue
O PSB, partido de Jenilson Leite, candidato a prefeito de Rio Branco em uma chapa puro-sangue ao lado de Sanderson Moura, terá mais de R$ 147 milhões para distribuir para todos os municípios do país nas eleições deste ano.

Jenilson oficializou a candidatura ao lado de Sanderson/Foto: Cristian Raphael/ContilNet
NOVO, porém milionário
Outra chapa puro-sangue, o NOVO, partido do deputado Emerson Jarude, pegará uma fatia de R$ 37 milhões do Fundo Eleitoral.

A convenção do NOVO em Rio Branco/Foto: Cristian Raphael/ContilNet
Saiba como é feito o repasse do Fundo Eleitoral e como acontece a divisão dos valores, segundo artigo publicado no site do TSE
A Resolução do Tribunal Superior Eleitoral (TSE) nº 23.605/2019 estabelece diretrizes gerais para a gestão e a distribuição dos recursos do Fundo Especial de Financiamento de Campanha (FEFC) aos diretórios nacionais dos partidos políticos. Esse fundo público, destinado a financiar as campanhas eleitorais das candidatas e dos candidatos, está previsto nos artigos 16-C e 16-D da Lei nº 9.504/1997 (Lei das Eleições).
O texto estabelece que todas as normas que regem as atividades das legendas nas eleições devem ser aplicadas também às federações de partidos, inclusive quanto: à escolha e ao registro de candidatas e de candidatos; à arrecadação e à aplicação de recursos em campanhas eleitorais; à propaganda eleitoral; à contagem de votos; à obtenção de cadeiras; à prestação de contas; e à convocação de suplentes.
A resolução prevê ainda que deve ser preservada a identidade e a autonomia dos partidos de uma federação, bem como estabelece que os recursos devem ser distribuídos aos diretórios nacionais na proporção de cada sigla.
De onde vêm os recursos?
O FEFC integra o Orçamento Geral da União e é disponibilizado, até o primeiro dia útil do mês de junho do ano eleitoral, ao TSE. A movimentação dos recursos é efetuada exclusivamente da conta única do Tesouro Nacional.
Os partidos podem comunicar ao TSE, também até o primeiro dia útil do mês de junho, a renúncia ao Fundo. Quando isso ocorrer, os valores retornarão à conta do Tesouro.
Já o montante total do Fundo será divulgado, no Portal da Transparência do TSE, até 15 dias após a data do recebimento da descentralização da dotação orçamentária.
Como é feita a distribuição?
Os recursos do Fundo devem ser distribuídos, em parcela única, aos diretórios nacionais dos partidos, observando os critérios estabelecidos pela Lei nº 9.504/1997:
- 2%, divididos igualitariamente entre todas as legendas com estatutos registrados no TSE;
- 35%, divididos entre os partidos que tenham, pelo menos, um representante na Câmara dos Deputados, na proporção do percentual de votos obtidos na última eleição;
- 48%, divididos entre as siglas, na proporção do número de representantes na Câmara, consideradas as legendas dos titulares;
- 15%, divididos entre os partidos, na proporção do número de representantes no Senado Federal, consideradas as legendas dos titulares.
Regras podem variar de partido para partido?
Os recursos do FEFC ficarão à disposição do partido político somente após a definição dos critérios de distribuição, que devem ser aprovados pela maioria absoluta de integrantes da executiva nacional da legenda. Tais critérios devem prever a obrigação de aplicação do total recebido do Fundo de acordo com os seguintes percentuais:
- para as candidaturas femininas, o percentual corresponderá à proporção dessas candidaturas em relação a soma das candidaturas masculinas e femininas do partido, não podendo ser inferior a 30%;
- para as candidaturas de pessoas negras, o percentual corresponderá à proporção de:
a) mulheres negras e não negras da sigla;
b) homens negros e não negros da legenda. - os percentuais de candidaturas femininas e de pessoas negras serão obtidos pela razão dessas candidaturas em relação ao total de candidaturas do partido em âmbito nacional.
Partidos devem estabelecer critérios para as federações?
Sim. Na hipótese de federação, a executiva nacional do partido deve observar os critérios fixados pela federação para distribuição do Fundo às candidatas e aos candidatos que a integram. Os critérios devem ser determinados em valores absolutos ou percentuais, para controle da Justiça Eleitoral.
Petição via PJe
Após a reunião da executiva nacional, os diretórios nacionais dos partidos devem encaminhar petição, pelo Processo Judicial eletrônico (PJe), à Presidência do TSE, indicando os critérios fixados para a distribuição do FEFC.
A petição deve vir acompanhada de:
- ata da reunião, subscrita por integrantes da executiva nacional, com reconhecimento de firma em cartório ou certificação digital;
- prova material de ampla divulgação dos critérios de distribuição do Fundo;
- indicação dos dados bancários de uma única conta-corrente, aberta exclusivamente em nome do diretório nacional para movimentação dos recursos do Fundo.
Após o envio dos documentos, a Presidência do TSE determinará:
- a transferência dos recursos para a conta bancária indicada;
- a publicação dos critérios fixados pelos partidos para a distribuição do Fundo.
Após o recebimento dos valores, o diretório nacional do partido deverá divulgar na internet o valor total e os critérios de distribuição dos recursos aos candidatos.
Caso os partidos não apresentem os documentos exigidos para a distribuição do Fundo, o saldo remanescente será devolvido à conta do Tesouro Nacional por meio de Guia de Recolhimento da União (GRU).
Distribuição aos candidatos
Para que a candidata ou o candidato tenha acesso aos recursos, é necessário apresentar requerimento por escrito à instituição partidária.
Já a regularidade dos gastos eleitorais realizados com recursos do FEFC por candidatas ou candidatos e por partidos políticos será analisada na respectiva prestação de contas de campanha eleitoral.

